Studies of Psychology and Behavior ›› 2025, Vol. 23 ›› Issue (4): 496-503.DOI: 10.12139/j.1672-0628.2025.04.009

• ? • Previous Articles     Next Articles

The Longitudinal Relationship Between Psychological Need Frustration and Depressive Symptoms in Adolescents: The Moderating Role of Psychological Suzhi

Xin LIU, Yanling LIU*(), Jinyi ZENG   

  1. Faculty of Psychology, Research Center of Mental Health Education, Southwest University, Chongqing 400715
  • Received:2024-04-17 Online:2025-07-20 Published:2025-07-20
  • Contact: Yanling LIU

心理需要挫折与青少年抑郁症状的纵向联系:心理素质的调节作用

刘鑫, 刘衍玲*(), 曾晋逸   

  1. 西南大学心理学部,西南大学心理健康教育研究中心,重庆 400715
  • 通讯作者: 刘衍玲
  • 基金资助:
    重庆市教育科学规划2023年度重点课题“中小学心理危机预警体系建构与精准干预研究”(K23YB2020021)。

Abstract:

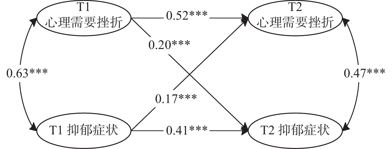
To examine the temporal relationship between basic psychological need frustration and depressive symptoms in adolescents, as well as the protective role of psychological suzhi in this relationship, a six-month longitudinal study was conducted with 2816 middle school students by using the Basic Psychological Need Frustration Scale, the Patient Health Questionnaire-9, and a simplified version of the Middle School Students’ Psychological Suzhi Scale. The results showed that there were significant concurrent and lagged correlations between psychological need frustration and adolescents’ depressive symptoms. Psychological need frustration at Time 1 (T1) significantly positively predicted depressive symptoms at Time 2 (T2), and depressive symptoms at T1 significantly predicted psychological need frustration at T2. T1 psychological suzhi negatively moderated the prediction of T2 depressive symptoms by T1 psychological need frustration. The results of this study reveal a bidirectional predictive relationship between basic psychological needs frustration and depressive symptoms, and indicate that psychological suzhi can buffer the negative impact of needs frustration on depressive symptoms, which provides guidance for the prevention and intervention of adolescent depressive symptoms.

Key words: psychological need frustration, depressive symptoms, psychological suzhi, adolescents, cross-lagged analysis

摘要:

为考察基本心理需要挫折与青少年抑郁症状的时间序列关系以及心理素质在两者间的保护作用,本研究采用基本心理需要挫折量表、病人健康问卷抑郁量表和中学生心理素质量表(简化版)对2816名中学生进行为期6个月的追踪研究。结果发现,心理需要挫折和抑郁症状的同时性和继时性相关均显著;T1心理需要挫折显著正向预测T2抑郁症状,T1抑郁症状显著正向预测T2心理需要挫折;T1心理素质负向调节T1心理需要挫折对T2抑郁症状的预测。该研究结果揭示了心理需要挫折与抑郁症状存在双向预测关系,且心理素质可缓冲心理需要挫折对抑郁症状的负面影响,为青少年抑郁症状的预防和干预提供了方向。

关键词: 心理需要挫折, 抑郁症状, 心理素质, 青少年, 交叉滞后分析